a) Expresa en radianes la medida de los ángulos sexagesimales

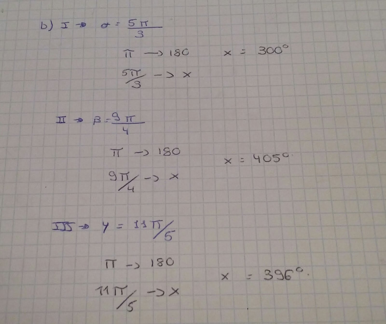
b) Pasa a sexagesimales los siguientes ángulos dados en radianes

c) Dados los siguientes ángulos halla

2. Resuelve los siguientes triángulos rectángulos

3. De un triángulo rectángulo sabemos que uno de los catetos es el doble del otro. Halla los ángulos del triángulo. Si además se conoce que su hipotenusa mide 3 m, halla las longitudes de los catetos.

4. Desde un cierto punto del suelo se ve un árbol bajo un ángulo de 50º. ¿ Bajo que ángulo se vera colocándose a distancia doble?¿Y calculándose a distancia triple?

5. Un paseante se dirige hacia un castillo. Desde una torre de 75 metros de altura se ve al paseante bajo un ángulo de 64º con la vertical y, un minuto después el ángulo de visión se reduce a 32º. ¿Qué velocidad, en km/h, lleva el caminante?

6. En una circunferencia de 1 metro de radio trazamos una cuerda que une los extremos de un arco de 110º. Calcula la distancia del centro a la cuerda.

7. Las diagonañes de un rectángulo miden 12 metro y forman un ángulo de 64º ¿Cuál es su área?

8. Halla la superficie de un logotipo con forma de pentágono regular inscrito en una circunferencia de 5cm de radio.

10. Sabiendo el seno de dicho ángulo halla las demás razones trigonométricas.

12. Calcula las razones trigonométricas sabiendo su coseno y q su tangente es positiva.
No hay comentarios:
Publicar un comentario